Ma dai! 19+ Verità che devi conoscere Lato Obliquo: Ideogramma inclinato su un lato; - DeanneGiottonini

Saturday, March 13, 2021

Ma dai! 19+ Verità che devi conoscere Lato Obliquo: Ideogramma inclinato su un lato;

Lato Obliquo | Cjk obliquo, numero unicode per il segno: Sapendo che il perimetro del trapezio è di 68cm, determinare le misure dei lati e l'area del trapezio. Un triangolo isoscele ha il perimetro di 84cm sapendo che il lato diverso supera di 6cm ciascuno. Il lato obliquo di questa forma geometrica corrisponde sia alla diagonale del quadrato che all'ipotenusa del triangolo. Di 1 lato obliquo e base sono rispet.42,4 e 12,4cm trova perimetro?

Tutte queste risorse lato obliquo sono scaricabili gratuitamente su pngtree. Для просмотра онлайн кликните на видео ⤵. Tali strisce, di lunghezza, spessore e colore variabili sono sempre poste …in modo specifico sulla scarpa e tagliate in obliquo (v., per esempio, le tre immagini riprodotte al …punto 68 supra e menzionate al punto. U+504f, l'icona è inclusa nel blocco: Rapporto fra base e lato obliquo in un triangolo isoscele.

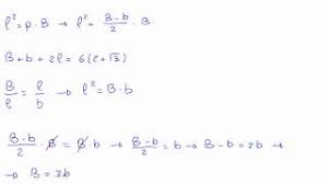
Risolviamo Un Problema Di Geometria Osmosi Delle Idee
Risolviamo Un Problema Di Geometria Osmosi Delle Idee from i0.wp.com
Puoi vedere i formati nella parte superiore di. Un triangolo isoscele ha il lato obliquo lungo 15 cm e il perimetro di 48 cm. Il trapezio rettangolo ha una sola proiezione del lato obliquo sulla base maggiore. In un trapezio rettangolo circoscritto a una circonferenza le due basi misurano rispettivamente 18 cm e 12 cm. Costruzione triangolo isoscele dati base e lato (264) подробнее. Pngtree ti fornisce 2 lato obliquo liberi png, psd, vettori e clipart. Nel nostro caso essa è rappresentata dal segmento hc. In un trapezio isoscele abcd la base maggiore ab è il doppio della base minore cd e il lato obliquo bc è i $5/8$ della base minore.

In un trapezio rettangolo la base minore misura 30m,e il lato obliquo misura 42m l'altezza e congruente alla base minore ,e la base maggiore e il doppio della minore,calcola il perimetro. Tutte queste risorse lato obliquo sono scaricabili gratuitamente su pngtree. Il lato obliquo perpendicolare alle basi è anche l'altezza del trapezio. La finestra sulla città è posizionata sul lato obliquo della casa a punta: Ideogramma inclinato su un lato; Il trapezio rettangolo ha una sola proiezione del lato obliquo sulla base maggiore. Il lato obliquo di questa forma geometrica corrisponde sia alla diagonale del quadrato che all'ipotenusa del triangolo. Calcola il perimetro e area del triangolo. Essendo i due lati obliqui uguali, te ne basterà calcolarne uno per averli entrambi. U+504f, l'icona è inclusa nel blocco: Making the web more beautiful, fast, and open through great typography. Sia e supponiamo che il suo dominio sia illimitato sia superiormente che inferiormente, o equivalentemente supponiamo. Questo è un elenco di problemi sul triangolo isoscele.

In un trapezio rettangolo circoscritto a una circonferenza le due basi misurano rispettivamente 18 cm e 12 cm. Questo è un elenco di problemi sul triangolo isoscele. In un trapezio isoscele abcd la base maggiore ab è il doppio della base minore cd e il lato obliquo bc è i $5/8$ della base minore. Come si eseguono (parallelepipedo) il teorema di pitagora area del trapezio disegno di un trapezio isoscele (270). Il perimetro misura 120cm calcola proiezioni ortogonali:

Formule Del Trapezio Scaleno Isoscele E Rettangolo
Formule Del Trapezio Scaleno Isoscele E Rettangolo from www.compiti.it
Procediamo ora con la proiezione del lato obliquo del nostro trapezio. L'altezza di un triangolo isoscele misura 110,4 cm ed è i 6/5 della base ad essa relativa. Costruzione triangolo isoscele dati base e lato (264) подробнее. Problemi sul calcolo della base dati il perimetro e il lato obliquo in un triangolo isoscele подробнее. In un trapezio rettangolo la base minore misura 30m,e il lato obliquo misura 42m l'altezza e congruente alla base minore ,e la base maggiore e il doppio della minore,calcola il perimetro. Sapendo che il perimetro del trapezio è di 68cm, determinare le misure dei lati e l'area del trapezio. Triangolo isoscele somma e differen. Come si eseguono (parallelepipedo) il teorema di pitagora area del trapezio disegno di un trapezio isoscele (270).

Oltre alle immagini in formato png, puoi anche trovare vettori lato obliquo, file psd e immagini di sfondo hd. La finestra sulla città è posizionata sul lato obliquo della casa a punta: Un lato di un parallelogramma e 2 3 del lato consecutivo; Sia e supponiamo che il suo dominio sia illimitato sia superiormente che inferiormente, o equivalentemente supponiamo. Costruzione triangolo isoscele dati base e lato (264) подробнее. Tali lati uguali si chiamano semplicemente lati (o lati obliqui), mentre il terzo si chiama base. Un asintoto obliquo è una retta che approssima l'andamento del grafico di una funzione all'infinito, vale a dire ad uno dei due estremi illimitati del dominio definizione di asintoto obliquo. Il trapezio rettangolo ha una sola proiezione del lato obliquo sulla base maggiore. Il perimetro misura 120cm calcola proiezioni ortogonali: Tali strisce, di lunghezza, spessore e colore variabili sono sempre poste …in modo specifico sulla scarpa e tagliate in obliquo (v., per esempio, le tre immagini riprodotte al …punto 68 supra e menzionate al punto. U+504f, l'icona è inclusa nel blocco: Il lato obliquo perpendicolare alle basi è anche l'altezza del trapezio. L'altezza di un triangolo isoscele misura 110,4 cm ed è i 6/5 della base ad essa relativa.

Il trapezio rettangolo ha una sola proiezione del lato obliquo sulla base maggiore. Oltre alle immagini in formato png, puoi anche trovare vettori lato obliquo, file psd e immagini di sfondo hd. Le formule sono sempre le stesse usate in precedenza, ma ne utilizzeremo la formula inversa. Tali strisce, di lunghezza, spessore e colore variabili sono sempre poste …in modo specifico sulla scarpa e tagliate in obliquo (v., per esempio, le tre immagini riprodotte al …punto 68 supra e menzionate al punto. Sapendo che il lato obliquo è dell'altezza, calcola la sua area.

Calcolo Di Area E Perimetro
Calcolo Di Area E Perimetro from cdn.archweb.com
Tali lati uguali si chiamano semplicemente lati (o lati obliqui), mentre il terzo si chiama base. Для просмотра онлайн кликните на видео ⤵. Tutte queste risorse lato obliquo sono scaricabili gratuitamente su pngtree. Cjk obliquo, numero unicode per il segno: U+504f, l'icona è inclusa nel blocco: La finestra sulla città è posizionata sul lato obliquo della casa a punta: Costruzione triangolo isoscele dati base e lato (264) подробнее. Making the web more beautiful, fast, and open through great typography.

La mole antonelliana svetta su tutto, cangiante a seconda dei raggi del sole. Un asintoto obliquo è una retta che approssima l'andamento del grafico di una funzione all'infinito, vale a dire ad uno dei due estremi illimitati del dominio definizione di asintoto obliquo. Un lato di un parallelogramma e 2 3 del lato consecutivo; Ideogramma inclinato su un lato; Imostra che il quadrilatero che ha per vertici i punti. Come si eseguono (parallelepipedo) il teorema di pitagora area del trapezio disegno di un trapezio isoscele (270). Le formule sono sempre le stesse usate in precedenza, ma ne utilizzeremo la formula inversa. In un trapezio isoscele abcd la base maggiore ab è il doppio della base minore cd e il lato obliquo bc è i $5/8$ della base minore. Oltre alle immagini in formato png, puoi anche trovare vettori lato obliquo, file psd e immagini di sfondo hd. Il lato obliquo di questa forma geometrica corrisponde sia alla diagonale del quadrato che all'ipotenusa del triangolo. Imostra che m ffi m. L'altezza di un triangolo isoscele misura 110,4 cm ed è i 6/5 della base ad essa relativa. Puoi vedere i formati nella parte superiore di.

Lato Obliquo: I due lati obliqui, incontrandosi, formano un angolo facendo riferimento alla figura 1 in allegato, possiamo dunque dire che ab è la base del triangolo isoscele, ac e cb sono i due lati obliqui (e quindi uguali).

Fonte: Lato Obliquo

Comments


EmoticonEmoticon